Frostbite is a localized cold injury caused by prolonged exposure to freezing temperatures, resulting in ice crystal formation within cells and tissues, leading to cellular damage, vascular injury, and potentially necrosis (Heggers et al., 1987). Damage occurs in phases, beginning with vasoconstriction and tissue cooling, followed by cellular ice formation and thawing, which triggers inflammation and vascular collapse (Cauchy et al., 2001). The extent of frostbite injury depends on several factors, including the duration of cold exposure, the rapidity of tissue freezing, and the rewarming method used (Murphy et al., 2000). Rapid rewarming in warm water between 37°C and 39°C remains the gold standard, guideline directed, treatment for frostbite in both back and front country settings, as it mitigates further tissue damage by promoting vasodilation, improving microvascular perfusion, and restoring oxygen to the tissues (Hewett Brumberg et al., 2024; McIntosh et al., 2024).
Achieving consistent, precise rewarming is critical because improper techniques can lead to refreezing, thermal injury, or exacerbation of ischemic injury. Particularly in resource-limited settings or field environments, maintaining the ideal temperature for rewarming is challenging (McIntosh et al., 2024). Emerging technologies, such as immersion circulator devices, may offer a promising solution by enabling precise control of water temperature, which could potentially minimize tissue damage and improve outcomes. This study compares three rewarming methods—faucet/sink, bucket, and immersion circulator—to evaluate their effectiveness, consistency, and speed in rewarming frostbitten tissue. We hypothesize that the immersion circulator method, due to its precise temperature control, will provide the fastest rewarming with the least variability, thereby reducing the risk of further tissue injury. The use of porcine legs enables comparison to similar research (Daniel et al., 2024; Fiutko et al., 2020).
Clinical Context and Rationale
The primary goal of frostbite treatment is to restore blood flow and oxygenation to the affected tissues as rapidly as possible to prevent necrosis and limit complications such as infection, compartment syndrome, and amputation. Warm water immersion, between 37°C and 39°C, is the most effective rewarming strategy because it optimizes vasodilation, enhances microvascular circulation, and prevents the further formation of ice crystals in the tissues (Heggers et al., 1987). Controlled, rapid rewarming has been associated with reduced amputation rates and improved long-term functional outcomes in frostbite patients (Handford et al., 2014).
However, maintaining this precise temperature range is difficult, especially in prehospital, field, or emergency department settings, where environmental conditions and resource constraints may limit the ability to perform optimal rewarming (MacIntosh et al., 2024). The use of immersion circulator technology, which allows for precise and stable temperature control, may overcome these challenges. Originally developed for culinary purposes, immersion circulator devices can maintain water temperature within fractions of a degree, offering a potentially valuable tool in the clinical management of frostbite (Vinceslio et al., 2020). By providing stable rewarming, immersion circulator devices may improve tissue salvage, reduce complications, and offer a more consistent rewarming method than traditional approaches (Daniel et al., 2024; McIntosh et al., 2024).
Purpose of the Simulation Study
The primary objective of this study is to evaluate the performance of different rewarming techniques in achieving the target tissue temperature of 38°C in a controlled setting, using porcine legs as a model for frostbitten tissue. The goal is to assess which method provides the most effective and consistent rewarming, thereby reducing the risk of further tissue damage. The introduction of immersion rewarming devices has the potential to improve frostbite management within the “Prevent and prepare” and “Self-recovery/Early medical care” domains of the Chain of Survival Behaviours. Therapeutic water temperature and target tissue temperatures are achieved much faster and maintained precisely, especially compared to current popular methods. Rapid, controlled rewarming allows for faster grading and determination of treatment course and overall may result in better patient outcomes.
Methods
Specimen Preparation
Six porcine legs (Sus scrofa) of 400 grams each were obtained from a local supplier and immediately instrumented with temperature probes for monitoring. The legs were then placed in a laboratory freezer and cooled to –8°C to simulate frostbite conditions.
Study Procedure
Prior to the start of each rewarming trial, the legs were removed from the freezer and placed in a 38°C rewarming environment. Each trial commenced immediately upon placing the frozen leg into the water, and temperature measurements were monitored continuously and recorded every minute throughout the rewarming process to monitor progress. Two sources of temperature data were collected during each trial: in-tissue temperatures and the temperatures of the rewarming water. The study protocol required that the rewarming water be maintained at 38°C. 2 trials were completed for each method (n = 2), using one porcine leg for each of the six trials (n = 6). No a priori sample size calculations were conducted, however, two trials were completed with each method to appraise internal validity, which required six porcine legs. No criteria were set when selecting specimens and no data was excluded from measurement or analysis. No randomisation or blinding methods were used when selecting experimental units or conducting trials. No control group was used because this study aims to compare variability in rewarming water temperature amongst the three methods.
Rewarming Methods
Three different rewarming methods were prepared and evaluated. Each method was completed for two separate 30-minute rewarming trials (six total trials). All trials were conducted in a hospital technology laboratory in Edmonton, Alberta (Canada).
Method #1: Continuously running sink
The first method involved running warm water from a faucet into a partially filled sink, where the tap water was set to 38°C. The water ran continuously, and the sink drain was left partially open, allowing for a consistent water level to be maintained during the 30-minute rewarming trial.
Method #2: Multiple bucket method
The second method utilized a 15-liter stainless steel basin that was initially filled with 5 liters of warm water at 38°C. As the water temperature dropped during the rewarming process, cooler water was removed from the basin using a graduated cylinder and additional warm water was added to maintain the target rewarming temperature.
Method #3: Immersion circulator
The final method employed an immersion circulator, which was set to maintain a water temperature of 38°C. The device was placed in a water bath of 40 liters in a 68-liter container, allowing it to automatically regulate the water temperature without the need for manual intervention.
Equipment
For monitoring tissue temperature, the ThermoPro TP25 Wireless Meat Thermometer was used. The water temperature was measured using the Inkbird IBS-TH2 Plus Bluetooth Temperature Probe. The immersion circulator used was the PolyScience MX-CA11B, chosen because it is a laboratory and industrial quality precision circulator approved for use in high-sensitivity applications. The immersion device was placed in a thick polypropylene container with dimensions of length 46 cm, width 32 cm, and depth 66 cm. For the bucket trial, a medical-grade stainless steel basin with measurements of length 37.5 cm, width 20 cm, and depth 20 cm was used.
Data Recording
All temperature data was manually recorded in Microsoft Excel for each trial. The data includes both water and internal tissue temperatures. Initial recordings of each measure were taken at the start of rewarming, followed by recordings for every minute of each trial conducted.
Statistical Analysis
Statistical analysis was performed using R statistical software. One-way ANOVA was used to compare mean rewarming temperatures between the three methods, followed by Tukey’s Honest Significant Difference (HSD) test for pairwise comparisons. Descriptive statistics, including means, standard deviations, and ranges, were calculated for each rewarming method. The coefficient of variation (CV) was also calculated to assess the variability in temperature control.
Visualization
Visualizations, including line graphs to depict temperature changes over time for each method, were created using Python’s Matplotlib library. These graphs visually demonstrate the differences in temperature stability and rewarming efficiency across the three methods. The area under the curve (AUC) was calculated to assess cumulative rewarming efficiency. All figures are available in the supporting documents of this manuscript.
Ethical Considerations
Ethics approval was not required for this study, as it involved non-human, non-living animal tissue, in accordance with the institutional guidelines for research involving animal byproducts.
Team Composition
The trial team consisted of three members:
A supervisor who oversaw the experiment and ensured adherence to the protocol.
A technician emergency registered nurse with >10 years of experience, responsible for conducting the rewarming trial.
A recorder who logged temperature measurements and managed data recording in Excel.
Results
Descriptive Statistics
The three rewarming methods—faucet/sink, bucket, and immersion circulator—were assessed based on their effectiveness in rewarming porcine leg tissue to a target temperature of 38°C over a 30-minute period. The results, summarized in Table 1, provide descriptive statistics for water temperature across all three methods.
Descriptive Statistics for Water Temperature by Rewarming Method.
| Method | Mean Temp (°C) | SD (°C) | Min Temp (°C) | Max Temp (°C) |
| Faucet/sink | 36.30 | 1.22 | 34.16 | 38.84 |
| Bucket | 36.31 | 1.84 | 33.12 | 39.45 |
| Immersion Circulator | 38.03 | 0.11 | 37.84 | 38.18 |
The faucet/sink method demonstrated a mean water temperature of 36.30°C (SD = 1.22°C), with a wide range of temperatures fluctuating between 34.16°C and 38.84°C, indicating significant variability in temperature control. The bucket method showed even greater variability, with a mean water temperature of 36.31°C (SD = 1.84°C) and a temperature range of 33.12°C to 39.45°C. The need for frequent manual intervention to maintain the target temperature contributed to this high level of variability.
In contrast, the immersion circulator method maintained the most consistent temperature, with a mean of 38.03°C (SD = 0.11°C) and a range of 37.84°C to 38.18°C. This method exhibited significantly less variability compared to the other two, providing superior temperature stability throughout the rewarming process.
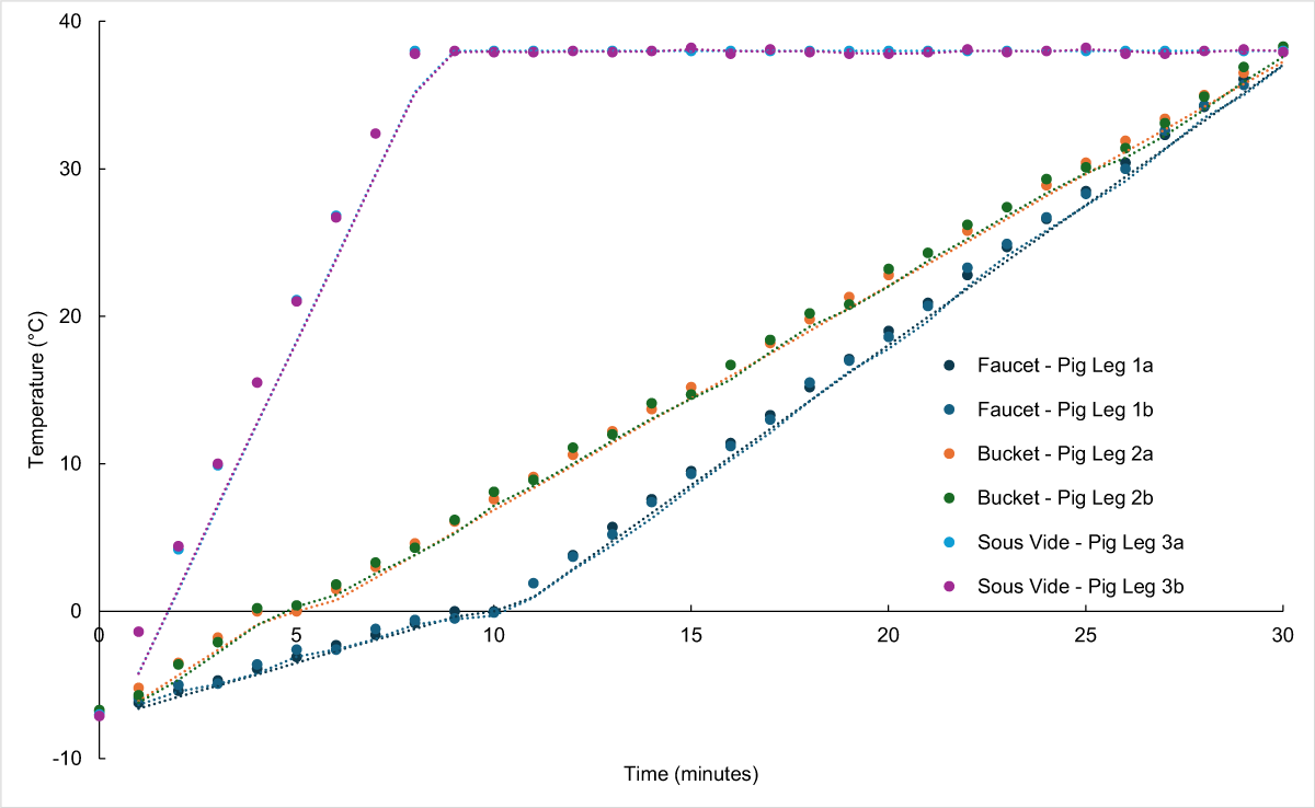
Time to Target Temperature
The time required to reach the target tissue temperature of 38°C varied across the methods (Figure 1). The immersion circulator method achieved the target tissue temperature in approximately 9 minutes, demonstrating the fastest rewarming performance. The bucket and faucet/sink methods both reached 38°C in approximately 30 minutes.
Rewarming Water Variability
Throughout the 30-minute rewarming periods, only the immersion circulator was able to maintain water temperatures at therapeutic guideline levels. Both the faucet/sink and bucket methods achieved this temperature for less than 10 minutes. The significant variability in water temperature likely contributed to the longer tissue rewarming time for the faucet/sink and bucket methods. The faucet/sink method had water temperatures fluctuating between 34°C and 39°C, including water temperature fluctuations coming from the tap, while the bucket method showed even greater variability, with frequent temperature drops that required nearly continuous manual intervention to rewarm the water. In contrast, the immersion circulator method maintained precise temperature control with minimal deviation from the target temperature (38°C ± 0.18°C). See Table 2 for details.
Water Temperature Below Therapeutic Rewarming Window by Rewarming Method.
| Method | Time below 37°C (minutes) | Percentage of time below 37°C (%) |
| Faucet/sink | 21 | 70.0 |
| Bucket | 23 | 76.7 |
| Immersion Circulator | 0 | 0.0 |
Note. Highlights of Figure 2.
Statistical Comparisons
One-Way ANOVA
A one-way analysis of variance (ANOVA) was conducted to compare the mean rewarming temperatures across the three methods. The results revealed a significant difference in mean temperatures between the methods: F(2, 180) = 290044.81, p < 0.001. This indicates that the rewarming performance differed significantly among the faucet/sink, bucket, and immersion circulator methods. These differences can be attributed to the lack of both circulation and a continuous heat source in the bucket method, the tap water temperature variability in the faucet/sink method, and the consistency and precision of the immersion circulator. Although trials have different initial water temperatures due to variability with the bucket and faucet/sink methods, the ANOVA does maintain statistical power since sample sizes are equal.
Tukey’s HSD Post-Hoc Test
To further explore the differences between methods, Tukey’s Honest Significant Difference (HSD) post-hoc test was applied. The results showed significant differences in mean temperatures between all pairs of methods, all p-values <0.05. These results confirm that the immersion circulator method is significantly faster and more consistent in rewarming compared to both the faucet/sink and bucket methods. This test also maintains statistical power since sample sizes are equal.
Discussion
Interpretation
The purpose of this study was to determine whether the use of an immersion circulator could offer an improved method for rewarming frostbite in comparison to current methods. The results demonstrate that the immersion circulator method is more effective and efficient than running tap water for the rewarming of a simulated frozen limb, as hypothesized. Our most significant finding was achievable due to the measurement of internal tissue temperature. The immersion circulator system achieved the target temperature of 38°C in the shortest time (approximately 9 minutes) and maintained near-perfect consistency, with no temperature fluctuations below 37°C and no additional workload on lab personnel. In contrast, both the faucet/sink and bucket methods showed significant variability, with water temperatures falling below 37°C for 70% and 76.7% of the rewarming period, respectively. For the bucket method, maintaining a stable rewarming temperature required considerable monitoring and intervention from lab personnel. Moreover, for the sink method, the tap water temperature was highly variable over the course of the trial.
These findings suggest that immersion circulators offer superior temperature control, which is critical for preventing further tissue damage during rewarming. The key takeaway is that precise and consistent temperature management, as achieved with the immersion circulator method, is paramount in frostbite care.
Chain of Survival Behaviours
Prevent and Prepare
Lab personnel found it difficult to maintain bucket water in the target rewarming range, as additional hot water had to be obtained repeatedly. The bucket rewarming method had the highest workload, requiring continuous draining and refilling to maintain the target temperature. These results suggest that the immersion circulator method is the most effective and reliable technique for rewarming tissue in controlled laboratory conditions. In the context of rewarming frostbite injuries, immersion rewarming devices may reduce the burden of the first aider because there is no need to manually monitor and adjust the water temperature.
The ease of using an immersion circulator, particularly culinary grade equivalents, may benefit lay-responders because these devices are user-friendly and more conveniently accessible.
Self-Recover/Early Medical Care
The immersion circulator method significantly outperformed the faucet/sink and bucket methods in terms of rewarming speed and consistency. It reached the target tissue temperature in 9 minutes, compared to 30 minutes for both the bucket and the faucet/sink methods. Additionally, the immersion circulator method exhibited the least variability, maintaining a near-constant water temperature, while both the faucet/sink and bucket methods showed considerable fluctuations.
In terms of cumulative rewarming efficiency, as measured by the area under the curve (AUC), the immersion circulator outperformed the other methods, achieving an AUC of 1140.9. This was higher than the faucet/sink method’s AUC of 1088.3 and the bucket method’s AUC of 1087.4, and it indicates that the immersion circulator delivered heat more efficiently over the rewarming period because it was able to maintain water temperature so precisely.
Frostbite treatment plan and prognosis can only be determined once the injured tissue has been fully rewarmed. In practice, this means immersion rewarming technology can be used to warm water more quickly and ultimately reduce the time it takes from cold injury onset to tissue rewarming. Additional research needs to be conducted on real cases of frostbite to determine if immersion circulator technology is capable of fully rewarming frozen tissue in less than 30 minutes.
Previous Studies
Research on frostbite rewarming methods has largely focused on traditional techniques such as warm water immersion in sinks or buckets, as well as dry rewarming techniques like radiant heat or heat packs. However, maintaining temperature manually, as necessary with methods like faucet or bucket immersion, often leads to unstable temperatures, increasing the risk of refreezing or thermal injury (Handford et al., 2014).
The contribution of this study lies in its investigation of immersion circulator technology for frostbite treatment, an area that has been underexplored in the literature. Immersion circulator devices provide highly accurate temperature control, which traditional methods lack. By minimizing temperature fluctuations during rewarming, immersion circulators may help mitigate the risks of refreezing and thermal injury, improving overall tissue outcomes. Furthermore, they do not require continuous effort by the healthcare worker to add tap water or drain and refill a bucket or basin. Our findings are consistent with a published case report and multicenter trial by Daniel et al. (2024), which showed that an immersion circulator was capable of clinically thawing frostbitten extremities within a single 30-minute treatment without any adverse effects and minimal fluctuations in rewarming water temperature.
Strengths and Limitations
The greatest strength of this study is the use of objective, continuous temperature measurements from both the water and tissue, which allowed us to accurately track the rewarming process and identify variability between methods. Recording internal tissue temperature yielded the novel finding that target temperatures were achieved in a significantly shorter time with the immersion rewarming device than with traditional methods. The use of a controlled laboratory setting ensured consistency across trials, reducing the potential for confounding variables. However, the study has some limitations. First, the use of porcine legs. While appropriate for simulating human tissue rewarming, they do not fully replicate the complexity of frostbite treatment in live patients, where vascular responses and immune reactions play crucial roles.
Additionally, our study did not account for different severities of frostbite as encountered in clinical settings, as all porcine legs were rewarmed from starting temperatures within a range of 0.4°C (–6.7°C to –7.1°C). Furthermore, the volume of each porcine leg was not measured, but they were all from the same grocery distributor and equal in mass. The study was conducted under ideal, controlled conditions, which may not fully represent real-world variability in clinical or field settings. However, Fiutko et al.’s 2020 study fully rewarmed a porcine leg in 30 minutes using a culinary immersion rewarmer, similar to the results of a case study on a human patient using a sous vide rewarmer (Daniel et al., 2024). As such, we deemed the use of porcine legs to be reasonably representative for our study. Additionally, the manual nature of the faucet and bucket methods introduces additional variables such as water supply temperature variability and human error, which may not be fully accounted for in the experimental setup. The highly variable nature of these two methods made it too difficult to start the rewarming trials for each device at exactly 38°C. Small sample sizes are a significant limitation of our study. Although sample sizes were consistent for each method, only two trials were completed using each protocol, and greater internal and statistical validity could be achieved with additional trials.
Clinical Implications
The clinical implications of this study are significant for both hospital and field management of frostbite. Rapid, controlled rewarming is essential to minimize tissue loss and improve long-term function, and immersion circulator technology offers several advantages over traditional rewarming methods in achieving this. In clinical settings, particularly in emergency departments, immersion circulator devices could provide a reliable and efficient method for maintaining precise rewarming temperatures for prolonged periods, reducing the need for constant monitoring and manual adjustments, which are required with traditional methods, thus, mobilizing resources in busy hospital settings (Handford et al., 2014). The immersion circulator achieved target tissue temperatures much faster and maintained better control over water temperature. The use of such a device in a hospital setting would ensure that water temperature is at therapeutic levels for the entire duration of a rewarming bath. Future trials in humans need to be conducted to determine if frozen limbs are also fully rewarmed in a shorter time period with the immersion circulator method.
In field settings, such as wilderness expeditions or military operations, where frostbite risk is high, portable immersion circulator devices could offer a valuable tool for first aiders. By providing controlled immersion rewarming, there may be a lower risk of prolonged rewarming and its subsequent complications, including irreversible tissue damage due to the high variability in water temperature associated with common methods. Field-deployable versions of immersion circulator devices, although currently unavailable, could significantly enhance the care of frostbite patients in remote or resource-limited environments like housing shelters or rural communities in cold climates. For example, when rural clinic staff encounter an individual presenting with a cold injury, they could use the device to reach therapeutic water temperature within minutes and fully rewarm frostbitten limbs before hospital transport, if advised, allowing the patient to receive intravenous vasodilator therapy as soon as they reach the hospital and ultimately have better outcomes. Furthermore, if this technology were employed at shelters for houseless individuals, it could allow members of this marginalized population to present with injuries that have been rewarmed within therapeutic timelines and increase access to treatment for this marginalized population.
Unfortunately, the greatest limitation of clinical applications with this technology is the lack of research around and the necessity for lab-grade rewarming devices, in addition to their associated cost. Our study intends to demonstrate the efficacy of such a device in enhancing frostbite rewarming and to inspire future research and applications of immersion circulator technology in cold injury treatment. Although culinary sous vide devices cannot reach therapeutic water temperatures as quickly, they have proven to be capable of sustaining target temperatures much better than traditional rewarming methods (Fiutko et al., 2020). Education around the superior capabilities of immersion rewarming devices should be emphasized to first aiders in environments where resources are scarce. For example, many rural communities in the northwestern hemisphere of the world are a long commute from healthcare centres equipped to manage severe frostbite injury. The provision of aid in such circumstances could be enhanced by simply employing a tool which is present in many residential kitchens.
Research Implications
This study highlights several important avenues for future research and extends the current scientific knowledge in the field, as it showed that immersion circulators achieve a more consistent rewarming temperature at a faster pace and with less need for manual intervention. However, clinical trials are needed to assess the efficacy of immersion circulator technology in real-world frostbite cases, particularly in terms of tissue preservation and functional recovery. While this study provides preliminary data from simulated rewarming scenarios, larger-scale clinical studies are necessary to confirm these findings and provide a basis for the widespread adoption of immersion circulator technology in frostbite care.
The most significant finding from this study was the ability of the immersion rewarming device to achieve target tissue temperature within less than 10 minutes. Future research should compare these methods in randomized control trials with human participants to explore differences in healthcare staff burden, patient recovery, and living tissue rewarming time. The specific finding that the immersion rewarming device could reach target tissue temperatures for porcine legs within approximately 9 minutes should be compared to human trials which measure internal tissue temperature. Differences in time to rewarm various degrees of cold injury and variability in tissue rewarming profiles for patients with risk factors such as diabetes and tobacco use should be explored.
Further research is needed to explore the balance between rapid rewarming and the risk of thermal injury or reperfusion damage in live patients. Studies like those by Poole & Gauthier (2016) and Poole et al. (2021) have shown that rapid rewarming is critical in the context of a complete care pathway, including vasoactive vascular therapies, but there is limited research on the optimal rate of rewarming for different severities of frostbite. Understanding the physiological effects of different rewarming speeds could lead to more refined treatment protocols, reducing the risk of complications while maximizing tissue preservation.
Conclusion
In conclusion, this study demonstrates that the immersion circulator method offers a superior solution for the rewarming of frostbitten tissue, achieving faster and more consistent rewarming than traditional faucet or bucket methods. By providing precise temperature control, the immersion circulator method mitigates the risks associated with temperature variability, such as refreezing or overheating, and could lead to improved patient outcomes in frostbite care. These findings have important implications for both clinical practice and future research, highlighting the potential for immersion circulator technology to enhance frostbite treatment protocols, especially in resource-limited settings where consistent rewarming is difficult to achieve.
Acknowledgements
Tony Campanio and John Desouza, laboratory research assistants.
Abstract translation kindly provided by volunteers: Barbara Tai (Simplified and Traditional Chinese), and Luis Miguel Pascual Gomez (Spanish).
Study data is available upon request by email to jdtiwana@ualberta.ca.
This study was self-funded by the investigators.
Competing Interests
Matthew J. Douma is the founder and owner of Miteh Health Solutions, a health technology laboratory and social enterprise in Edmonton, Alberta.
References
Cauchy, E., Chetaille, E., Marchand, V., & Marsigny, B. (2001). Retrospective study of 70 cases of severe frostbite lesions: A proposed new classification scheme. Wilderness & Environmental Medicine, 12(4), 248–255. http://doi.org/10.1580/1080-6032(2001)012[0248:rsocos]2.0.co;2
Daniel, N. J., Storn, J. M., Elder, J. H., Chevalier, J. I., & Weinberg, N. E. (2022). Clinical utilization of a Sous vide device in the acute rewarming of Frostbitten extremities. The American Journal of Emergency Medicine, 52, 200–202. http://doi.org/10.1016/j.ajem.2021.12.026
Daniel, N. J., Storn, J. M., Weinberg, N. E., Galvin, W. A., Irons, H. R., Barksdale, A. N., Rischall, M. L., Bilodeau, S. M., Gale, J. Y., Willet, K. G., Wilson, A., Keiper, K., & Chevalier, J. (2024). Assessment of sous vide water baths in the acute rewarming of Frostbitten Extremities: A multicenter study. Academic Emergency Medicine, 32(5), 574–577. http://doi.org/10.1111/acem.15061
Fiutko, A. N., Foreman, C. O., Mycyk, M., & Weber, J. (2020). A novel approach to rapid rewarming of a frostbitten extremity: The Sous Vide Method. The American Journal of Emergency Medicine, 38(3), 463–465. http://doi.org/10.1016/j.ajem.2019.05.009
Handford, C., Buxton, P., Russell, K., Imray, C. E., McIntosh, S. E., Freer, L., Cochran, A., & Imray, C. H. (2014). Frostbite: A practical approach to hospital management. Extreme Physiology & Medicine, 3(1). http://doi.org/10.1186/2046-7648-3-7
Heggers, J. P., Robson, M. C., Manavalen, K., Weingarten, M. D., Carethers, J. M., Boertman, J. A., Smith, D. J., & Sachs, R. J. (1987). Experimental and clinical observations on frostbite. Annals of Emergency Medicine, 16(9), 1056–1062. http://doi.org/10.1016/s0196-0644(87)80758-8
Hewett Brumberg, E. K., Douma, M. J., Alibertis, K., Charlton, N. P., Goldman, M. P., Harper-Kirksey, K., Hawkins, S. C., Hoover, A. V., Kule, A., Leichtle, S., McClure, S. F., Wang, G. S., Whelchel, M., White, L., & Lavonas, E. J. (2024). 2024 American Heart Association and American Red Cross Guidelines for first aid. Circulation, 150(24). http://doi.org/10.1161/cir.0000000000001281
McIntosh, S. E., Freer, L., Grissom, C. K., Rodway, G. W., Giesbrecht, G. G., McDevitt, M., Imray, C. H., Johnson, E. L., Pandey, P., Dow, J., & Hackett, P. H. (2024). Wilderness Medical Society Clinical Practice Guidelines for the prevention and treatment of frostbite: 2024 update. Wilderness & Environmental Medicine, 35(2), 183–197. http://doi.org/10.1177/10806032231222359
Murphy, J. V., Banwell, P. E., Roberts, A. H., & McGrouther, D. A. (2000). Frostbite: Pathogenesis and treatment. The Journal of Trauma: Injury, Infection, and Critical Care, 48(1), 171. http://doi.org/10.1097/00005373-200001000-00036
Poole, A., & Gauthier, J. (2016). Treatment of severe frostbite with Iloprost in Northern Canada. Canadian Medical Association Journal, 188(17–18), 1255–1258. http://doi.org/10.1503/cmaj.151252
Poole, A., Gauthier, J., & MacLennan, M. (2021). Management of severe frostbite with Iloprost, alteplase and heparin: A Yukon case series. CMAJ Open, 9(2). http://doi.org/10.9778/cmajo.20200214
Vinceslio, E. M., Fayos, Z., Bernadette, A., & Van Gent, J.-M. (2020). Expeditionary immersion circulating heating device: A promising technique for treating frostbite injuries and warming intravenous fluids in a forward deployed cold weather environment. Military Medicine, 185(11–12). http://doi.org/10.1093/milmed/usaa213

